Limitations from AISC 25 Steel Design Guide
Frame Design Using Web-Tapered Members

The AISC Design Guide Frame Design Using Web-Tapered Members [1], published by the American Institute of Steel Construction, is based on the AISC Specification for Structural Steel Buildings. It provides guidance on applying the Specification’s provisions to the design of web-tapered members and frames composed of web-tapered members. A significant research program was conducted as part of the development of this Design Guide. This research was conducted by White, Kim and others at the Georgia Institute of Technology.

Reference: [1]
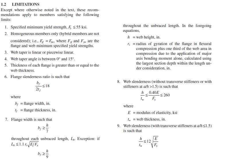
This Design guide provides some recommendations as follows [1]:

Accordingly, the web-tapered member profiles in the MkaPEB section database have been generated to satisfy the Design Guide’s geometric and cross-sectional limitations.
References:
[1] Kaehler, R.C., White, D.W. and Kim, Y.D., 2011. Frame design using web-tapered members. Chicago, IL, USA: American Institute of Steel Construction.